I attended the December 14, 2023, Camden County Commission meeting at 10:00 a.m.
Commissioners Skelton and Gohagan were present.
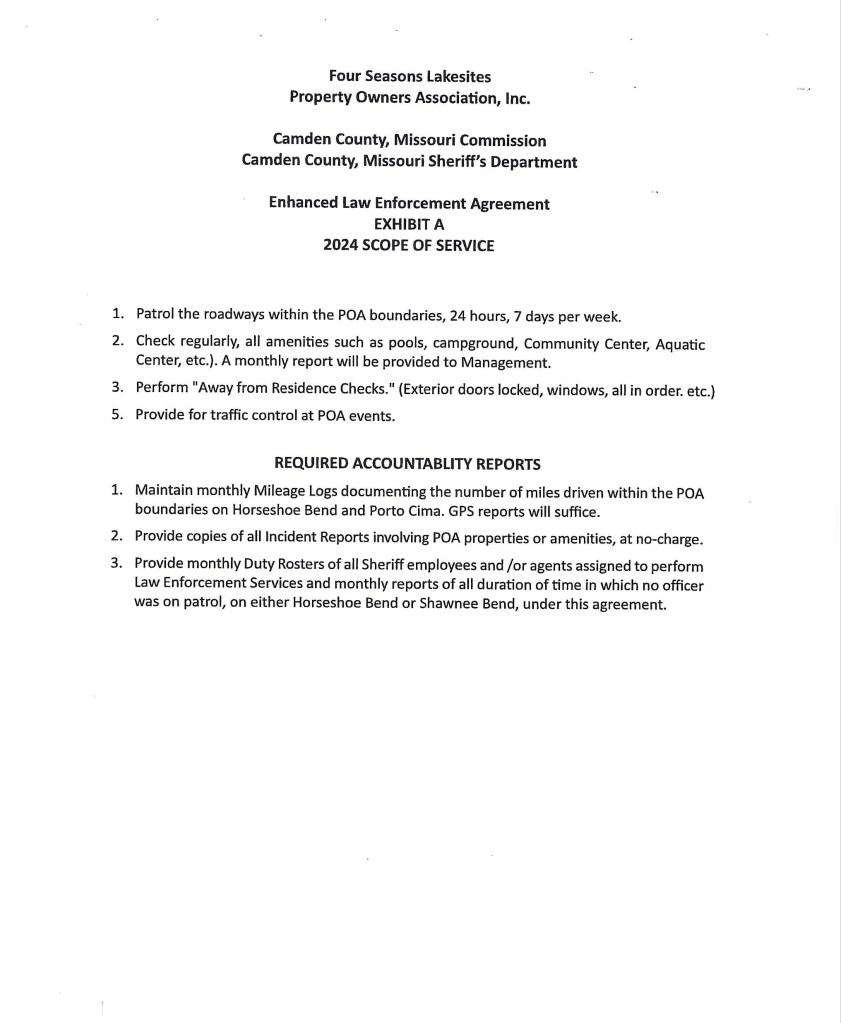
Commissioner Gohagan started the meeting with some Old Business regarding the Four Seasons Lakesites POA’s proposed agreement with the Camden County Sheriff’s Office (CCSO). He read a letter from the Four Seasons POA which I have added below.



The letter proposed that the POA would pay $100,000 for a one year contract with the CCSO for a specific, defined list of services which would include law enforcement. In return, the CCSO would provide the POA with monthly accountability reports. The letter stated that Sheriff Helms had given the POA the impression that he was willing to agree to a contract for $50,000 less than the CCSO’s current arrangement with the POA.
This contract will be reviewed by the Commission, the Sheriff, and the County Attorney before anything is signed.
The first agenda item was Bid Openings – 231214 Human Trafficking Training.
There was one bid for this item from the Human Trafficking Training Center. They would charge $2,000/day for two instructors plus travel expenses to train an unlimited number of students. This training was Missouri POST-certified and the founder of the vendor, Dan Nash, is a retired Missouri Highway Patrolman. County Attorney Green is very involved in the prevention of human trafficking and he stated that this particular training course is very focused on the law enforcement side of these investigations.
According to Presiding Commissioner Skelton, this training will be funded by a $500,000 federal grant that was applied for by our previous Prosecuting Attorney, Caleb Cunningham. I guess even a blind squirrel finds a nut now and then. (EDIT – I later was informed by our current Prosecuting Attorney that her administration actually applied for this grant, so maybe I shouldn’t be in such a hurry to give even blind squirrels credit for things.)

The bid for this training was accepted unanimously by the Commission.
The second agenda item was McGrath Insurance Policy Renewal.
Commissioner Gohagan explained that Camden County’s annual insurance premium from Travelers Insurance will be increasing from $656,000 to $776,000. The county’s auto insurance, employment, and management liability premiums have all increased. County Attorney Green said that some of these insurance increases are simply a result of nationwide cost inflation.
Frankly, with all of the legal costs incurred by the county over the past few years, I think we’re fortunate to find an insurance company that will insure Camden County. Insurance companies are not in the business of losing money and as a result, many counties and cities eventually have to resort to insuring themselves the old fashioned way: storing away money for unlucky judgements and firing problem employees.
The Commission voted unanimously to accept the newly increased annual premiums for Travelers Insurance through McGrath.
And that was that.
It’s good to see that the Four Seasons POA and the Sheriff’s Office seem to be getting closer to an agreement on their contract. When you consider the actual cost for the 6-8 deputies provided for law enforcement coverage in the Four Seasons area, the Village and POA are really getting great value for their money.
A typical deputy would cost around $50,000 in salary plus another $20,000 for benefits. Add to that the cost of equipment, vehicles, dispatch, insurance, and other miscellaneous expenses, and each deputy is probably a $100,000 value. While they would still police the POA area without this contract (since it is in the county), the added benefit of having them assigned there to patrol it even when they aren’t handling calls is well worth it.
I’m actually surprised the Sheriff was willing to accept a reduction in the contract from $144,000 per year to $100,000. Hopefully, the POA takes advantage of this generosity.
Me too. This is and always has been a loser for any taxpayer outside Horseshoe Bend. Sounds like it just became a bigger gift.
LikeLike