I attended the May 14, 2024, Camden County Commission meeting at 10:00 a.m.
Commissioners Gohagan and Skelton were present.
There was some initial discussion about amending the agenda to remove the discussion of the rabies protocol because the person who asked to discuss it wasn’t present. The commissioners eventually decided to discuss the rabies protocol anyway. Commissioner Gohagan explained that a child had been bitten by a dog. (It was later learned that the victim was an adult male.). When the father went to the Health Department to find out if the dog had rabies, they would not disclose that information because of privacy issues.

(I know, right? We’ll get into this more later.)
The first agenda item was Public Hearing #1- Speed Limit Reduction on Southern Cherokee Drive and Lake West Park.
Several residents from Southern Cherokee Drive spoke to the Commission and they were united in their opinions that the speed limit on the road should not be reduced from 35 MPH. Everyone felt badly that a dog had been hit by a car, but it was their position that the incident would never have occurred if the dog had not been loose. One of the speakers was the father of the woman who hit the dog. He explained that she thought she had hit a turkey and she never realized it was a dog. After the collision, his daughter was followed to a school event by deputies who wrote her a ticket for Careless and Imprudent Driving. The ticket was later dismissed by the Prosecuting Attorney’s Office.
The neighbors mentioned that the county had posted a 35 MPH speed limit sign on the street in late April to remind drivers of the default speed limit. They felt the new sign was more than enough.
After the Southern Cherokee folks had their turn, a couple from West Lake Park (I think this is the correct name of the road?) came up to the microphone and told the Commission that they wanted to reduce their street’s speed limit from 35 MPH. Their road is narrow with no sidewalks and lots of blind curves. Drivers often use the road to cut through to Ha Ha Tonka.
One neighborhood seemed to be opposed to reducing the speed limit, but the other neighborhood seemed to want their speed limit reduced. Commissioner Gohagan explained to the audience that Southern Cherokee Drive was a wide open road while West Lake Park was a much more hazardous environment.
(After the meeting, I drove to West Lake Park in the hope of taking a few pictures for this article. The road is so narrow in some parts that two cars can’t even pass each other. In fact, I couldn’t find a single spot where I could pull my truck over and park to get some photos. This artist’s rendering will just have to suffice.)

I asked if the Sheriff’s Office ever conducts traffic surveys to calculate the actual speeds and travel patterns on roadways? Speed surveys place counter strips on the roadway and our traffic units used them to determine the impact of enforcement and signage on traffic speed. Chief Deputy Brashear told the Commission that the Sheriff’s Office doesn’t do traffic surveys.
The second agenda item was Bid Opening – Assessor’s annex building – siding.
There was one bid from Elite Roofing and Siding. It sounded like the bid was for $36,141 with possible adjustments for changes in cost of materials.
The Commission voted to table this bid so it could be reviewed.
The third agenda item was Acceptance of road salt bid.
The Commission voted unanimously to accept the bid from Central Salts for $81.45 per ton.
The final agenda item was Discuss ambulance districts and rabies protocol.
There are some discrepancies between the maps the ambulance districts use for their districts and the ambulance district maps the County Clerk uses. The County Attorney became aware of this issue when it was discovered that a district board member lived just outside of the district’s boundary. The County Attorney explained that the County Clerk’s maps are the controlling maps and they serve as the primary authority for determining the boundaries.
The rabies protocol discussion was surprising. From what I gathered, a boy (correction: adult son) was bitten by a dog and the owner was reluctant to tell the father whether the dog had been vaccinated for rabies or not. The father wanted to go to the Health Department to find out if the dog had been vaccinated for rabies. The Health Department did not want to provide that information to the father. Eventually, the owner was able to get the proof from their veterinarian to prove that the dog had its rabies vaccination. Obviously, this is the kind of information you want sooner rather than later since the rabies treatments aren’t effective once the victim starts exhibiting rabies symptoms.
It seemed like Animal Control was not involved in this incident and Chief Deputy Brashear explained that normally, when a dog bite victim is taken to the ER, the hospital notifies the Sheriff’s Office and Animal Control follows up with an investigation. Presiding Commissioner Skelton asked the Animal Control representative to prepare an information sheet that could be distributed to veterinarians and the Health Department. Brashear also explained that including the Sheriff’s Office in the process would allow them to track dogs that are repeat bite offenders.
And that was that.
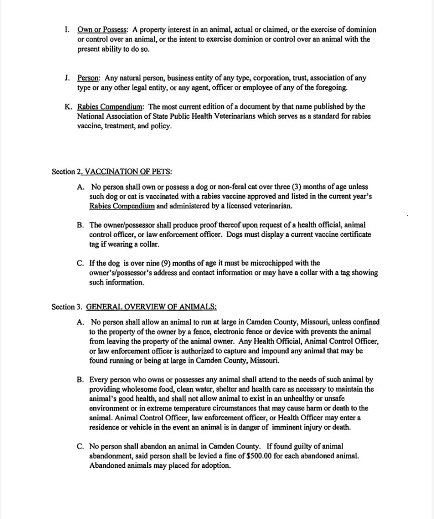
I was surprised to discover that Missouri does not have a state-wide statutory requirement for rabies vaccinations. Camden County passed an ordinance on July 1, 2019 that required all dogs and non-feral cats over 3 months of age to be vaccinated for rabies. Interestingly, it also required that all dogs over 9 months of age be micro-chipped or wear a collar with contact information on the tag.
According to the ordinance, any dog or cat which bites or injures a human without proof of current rabies vaccination would be impounded and observed for 10 days by an animal control officer or a licensed veterinarian. If the owner can provide proof of rabies vaccination, the dog can be quarantined at the owner’s house. So the idea that the Health Department would refuse to provide this information means somebody misunderstood what was happening or somebody isn’t following the ordinance.
And once again, this points out why Camden County really needs to get all of its ordinances posted at one location online. I suspect that there are a lot of old ordinances that are never enforced because people have forgotten they were even passed.






Do you know if there was a closed session held regarding the firing of the counties HR director?
LikeLike
I don’t know anything about that, but I can look into it.
LikeLike